放射性核素99Tc是一种长寿命裂变产物,其半衰期为2.13×105年,具有长期的潜在放射性危害。在核废料中99Tc主要以水溶性极强,稳定性极高的TcO4-阴离子的形式存在。目前研究最为广泛的核废料储放形式完全无法阻滞TcO4-,因此99Tc是核废料中最易泄漏的放射性核素,并且在自然环境中的迁移能力极强,几乎不受阻滞。同时还有多种大量过量的常见阴离子(NO3-、Cl-和SO42-等)与TcO4-共存于核废液或放射性水环境中。因此,选择性高效去除TcO4-一直是环境放射化学领域中的未解难题。针对这个难题,本团队创新性地采用阳离子金属有机框架(MOFs)材料选择分离放射性TcO4-,取得了一系列成果,已在环境领域顶尖期刊发表(Environmental Science & Technology, 2017, 51, 3471-3479;Environmental Science & Technology Letters, 2017, 4(7), 316-322.)。
基于前期基础,最近本团队在国际顶尖期刊Journal of the American Chemical Society上报道了又一例选择分离TcO4-的阳离子骨架材料(命名为SCU-101,SCU = Soochow University),并解析了TcO4-在SCU-101中晶体结构,这是国际上首次报道放射性TcO4-在多孔材料中的晶体结构。

图1、SCU-101的晶体结构示意图
首先,通过过渡金属离子Ni2+、草酸根以及四齿含氮中性配体构建三维阳离子MOF材料SCU-101(图1),该材料具有三种不同大小的一维孔道(A: ~7×9 Å、B: ~11×5 Å、C: ~4×2.5 Å),孔道内含有大量可交换的无序NO3-。SCU-101在水溶液中相当稳定且耐辐照。吸附实验结果表明(图2):SCU-101对TcO4-的吸附动力学非常快,在10分钟内即可去除95%以上,远远快于传统的高分子阴离子交换树脂和其它阳离子MOFs材料;对ReO4-(TcO4-的模拟物,具有相似的物理化学性质)的吸附容量为217 mg/g、分配系数Kd值高达7.5×105 mL/g,显著高于已报道的材料;当大量竞争离子,如NO3-、SO42-、CO32-和PO43-存在时,SCU-101仍能高选择性地去除ReO4-;SCU-101对高价态的SO42-和PO43-的吸附远远低于ReO4-。即便在SO42-过量6000倍的情况下(模拟美国萨凡纳河场址核废液),SCU-101仍能去除80%以上的TcO4-。另外,模拟Hanford实际放射性废液实验也证实了SCU-101可快速高效地去除TcO4-(去除率高达75.2%)。这一发现有望解决放射性废液和环境中TcO4-去除的难题。

图2、SCU-101对TcO4-的吸附结果
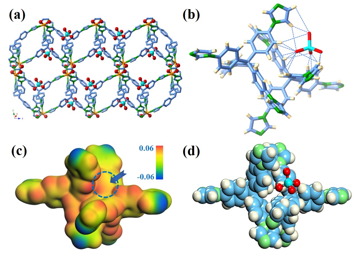
通过X射线单晶衍射技术阐释了SCU-101高效分离TcO4-的机制,是孔道匹配和氢键络合的协同机制(图3)。吸附后的结构中,TcO4-只存在于孔道A中,表明TcO4-与孔道A的大小比较匹配;另外TcO4-与配体的苯环和咪唑上的氢原子形成致密的氢键网络,这可能是SCU-101对TcO4-高选择性、高吸附容量去除的内在原因。吸附机制也进一步通过密度泛函理论计算得到佐证。本工作一方面表明阳离子MOFs材料在乏废料后处理以及环境中放射性阴离子去除方面具有较好的应用前景,另一方面也首次揭示了放射性TcO4-在多孔材料中的结构,对于理解TcO4-在环境中迁移阻滞行为提供了结构信息,另外也有助于设计高效去除TcO4-的新颖材料。

图3、SCU-101吸附TcO4-的单晶结构及机制
本工作苏州大学朱琳博士研究生、盛道鹏实验员以及清华大学徐超副教授为共同第一作者,肖成梁副教授和王殳凹教授为共同通讯作者。苏州大学代星博士和周如鸿教授在理论计算方面给予了极大的帮助。感谢国家自然科学基金和江苏省自然科学基金等的资助。
