质子交换膜燃料电池(PEMFC)是一种新型的燃料电池,具有工作温度低、启动快、比功率高、结构简单、操作方便、绿色环保等优点。与目前只能在低温(低于100 ℃)和高水合度下操作的商业化的全氟磺酸-PEMFC(Nafion-PEMFC)相比,中温段(100-300℃)的PEMFC具有明显的优势,如具有更快的电极动力学,不需要潮湿的入口流或用于消散废热的大型散热器,且具有当配备甲醇燃料时铂催化剂的CO中毒最小化等。
发展在无水、中段温度环境下具有高质子传导速率和长期工作稳定性的质子交换膜材料是下一代PEMFC必须要克服的主要技术障碍之一。在最近的十几年中,配位聚合物(CPs)和金属有机骨架(MOFs)作为新型结晶质子传导材料被广泛研究,其主要优点是可以可控地实现所需的质子传导行为。同时,CP/MOF晶体材料为理解分子水平上的质子运输途径提供了强大的平台。

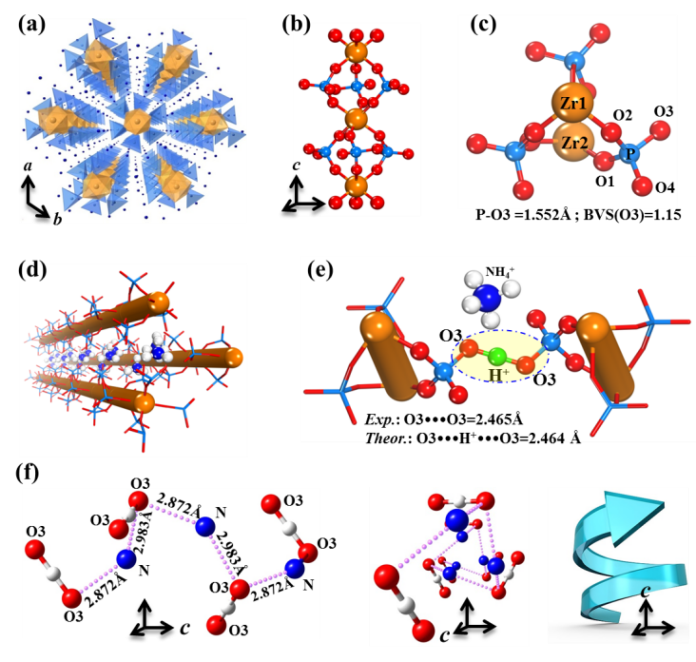
图1:化合物ZrP的晶体结构信息示意图。
基于前期工作基础,最近苏州大学王殳凹团队在国际顶尖期刊Journal of the American Chemical Society上报道了一例具有本征、高效的中温段的质子传导效率的晶体材料,命名为ZrP(JACS., 2018, DOI: 10.1021/jacs.8b02598)。
首先,以烷基咪唑类离子液体作为溶剂,将磷酸(H3PO4)、氯化锆(ZrCl4)和尿素((NH2)2CO)在溶剂中于180℃下进行离子热反应制备得到具有优异的化学稳定性和热稳定的ZrP晶体材料。通过X射线单晶衍射技术测得ZrP结构是由沿c轴延伸的一系列堆叠的一维阴离子磷酸锆链组成(图1a),NH4+阳离子填充链间的间隔中进行平衡电荷。此外,结构中半质子化的O3具有较高的电负性,与NH4+阳离子具有强烈地相互作用,其N1-O3距离为2.872 Å,形成本征无限的一维螺旋氢键链,并带有一系列质子载体和质子空位(图1f)。原则上,质子会在链内高度活跃,驱动力与酸碱中和反应非常相似,这导致该材料具有很高的质子传导效率。通过质子传导率测试发现ZrP晶体具有本征、高效的中温段的质子传导效率,在低温高湿和高温无湿条件下都具有较高质子传导效率:在90 ℃,95%相对湿度的条件下σ=1.21 × 10−2 S•cm−1,Ea=0.26 eV;在180 ℃,无湿的条件下σ=1.45 × 10−3 S•cm−1,Ea=0.3 eV,如图2所示。

图2:化合物ZrP在低温高湿和高温无湿条件下的质子传导效率。
通过进一步的理论计算、变温固态核磁、粉末中子衍射等一系列综合表征测试手段对化合物ZrP中的质子传递的路径和机制进行了详实的阐释。这为理解质子H在结构中真实传递行为提供了重要信息,同时也为设计更高效、稳定、新颖的质子传导材料提供了指导信息。

图3:DFT研究了化合物ZrP的质子传递途径和机制。
更重要的是,ZrP质子传导材料不仅实现了在低温高湿和高温无湿条件下都具有较高质子传导速率,并且可以应用到实际的H2/O2和直接甲醇质子交换膜燃料电池中(180℃ H2/O2测试条件下电池的电功率密度可达到12 mW•cm−2)。这是首次将晶体材料同时用于H2/O2和直接甲醇两种质子交换膜燃料电池中。与现有的质子传导材料相比具有更温和、高效的制备合成方法,而且具有更好的热稳定性和溶液稳定性,避免了在实际的电池工作中材料的损坏而导致的电功率密度的降低。

图4:化合物ZrP的H2/O2质子交换膜燃料电池测试。
苏州大学博士研究生桂大祥、代星博士和盐城工学院陶泽天老师为本工作共同第一作者,苏州大学王殳凹教授、周如鸿教授和中国地质大学赵凌教授为共同通讯作者。该工作得到了国家自然科学基金委员会重大项目、优秀青年基金、青年基金、中组部“青年千人计划”和江苏省杰出青年基金的资助。