99Tc是乏燃料后处理流程中最为棘手的放射性核素之一,产额高(6%),半衰期长(2.13×105年)。通常条件下,99Tc以99TcO4−阴离子形式存在,在后处理的过程中,99TcO4−的氧化性会降低铀/钚分离的效率;其次,在乏燃料的高温玻璃固化过程中,Tc2O7的易挥发性使得99Tc以放射性废气的方式进入到大气中;99TcO4−极易溶于水(11.3 mol/ L),迁移快,并且不易被矿物质和沉积物吸附固定。因此,如何在放射性废液和环境领域中实现99TcO4−的高效分离和去除引起了研究人员的高度重视。然而,与其它阴离子相比,99TcO4−具有较大的尺寸和较低的电荷密度,导致其配位能力差,不易与其它材料键合;同时,在放射性废液的极端环境(高酸/高碱性、高离子强度、强辐照)下,材料对99TcO4−的选择性识别和捕获更加困难。针对这个难题,本课题组设计合成了一系列阳离子型MOF、COF以及聚合物材料,可在中性和高酸性环境中高选择性地分离和去除99TcO4−,相关成果发表在化学与环境领域顶尖期刊(Environ. Sci. Technol. Lett.2017, 4, 316-322; Environ. Sci. Technol.2017, 51, 3471-3479; J. Am. Chem. Soc., 2017, 139, 14873-14876; Nat. Commun.2018, 9, 3007; Angew. Chem. Int. Ed.2019, 58, 4968-4972; Chem. Sci.2019, 10, 4293-4305.)。

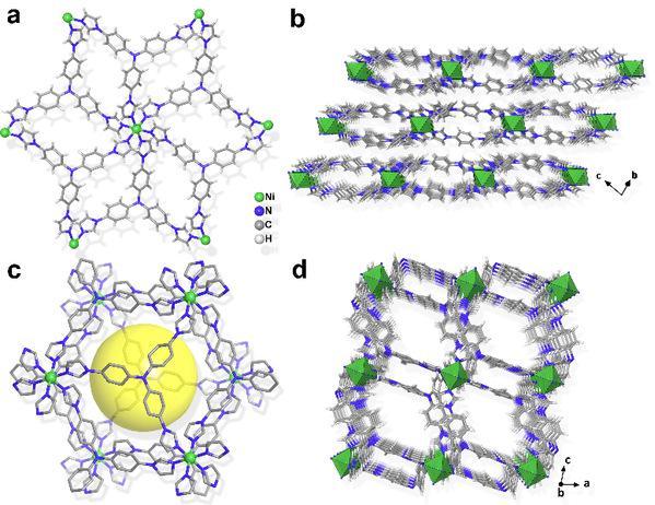
图1 SCU-103的结构示意图
最近,本课题组利用金属中心Ni2+与三齿含氮配体构筑了一例二维阳离子型MOF材料SCU-103,金属中心六配位的构型使得配体将Ni2+包裹限制在褶皱的阳离子层中,有效地避免了溶液中OH−对Ni−N共价键的进攻和与竞争性配位,表现出优异的碱稳定性。吸附实验表明:该材料表现出较快的99TcO4−交换动力学,在5 min内可达到吸附平衡;吸附容量为318±8 mg/g ReO4(99TcO4−的模拟物);SCU-103对99TcO4−具有良好的选择性,在其它阴离子如一价Cl−、ClO4−、NO3−以及高价CO32−、SO42−、PO43−等阴离子存在时,去除率仍保持在98%以上;吸附前后,晶体形貌保持不变,吸附后的材料可用1 M NaNO3洗脱再生;辐照前后,材料的吸附量基本不变。基于其良好的碱稳定性和辐照稳定性,我们与美国Savannah River实验室合作,研究了该材料在真实的萨瓦纳河废液中99TcO4−的去除能力,研究表明,在高碱性(1.88 M OH−)、高离子强度(1.82 M NO3−、0.489 M NO2−、0.240 CO32−)废液体系中,通过提高固液比的方式,SCU-103可将99TcO4−去除率提升到90%。

图2 (a-b) SCU-103的吸附动力学; (c) Langmuir吸附容量等温线; (e-f) SCU-103的选择性吸附实验; (g) 循环利用实验; (h) 辐照稳定性测试; (i) SCU-103在真实和模拟萨瓦纳河废液中的99TcO4−去除率.
分子动力学模拟进一步解释了吸附机理:首先,与NO3−、SO42−、OH−等阴离子相比,99TcO4−与SCU-103之间结合能力较强,随着吸附时间的延长,99TcO4−逐渐取代SCU-103中NO3−的结合位点进入到阳离子骨架中,而被吸附的SO42−、OH−非常少。另一方面,由于99TcO4−和NO3−之间的静电排斥作用,进入到骨架中的99TcO4−会削弱了SCU-103和NO3−之间的相互作用,促使NO3−从骨架中解离。本工作不仅在高稳定的阳离子型MOFs材料的合成上取得了突破,而且首次报道了将阳离子MOFs材料应用于治理真实放射性废液体系,表明了阳离子MOFs材料在放射性阴离子污染去除方面潜在的应用前景。相关结果已正式发表在Nature Communications上(Nat. Commun., 2020, 11, 5571)。

图3 在竞争离子存在下SCU-103对99TcO4−吸附过程的分子动力学模拟
苏州大学放射医学与辐射防护国家重点实验室核能环境化学研究中心博士后申南南、杨再兴副教授、刘胜堂博士为该论文共同第一作者,王殳凹教授、周如鸿教授、浙江大学肖成梁教授为共同通讯作者。该研究工作得到了国家自然科学基金、江苏省自然科学研究项目、中国博士后科学基金的共同资助。