近日,苏州大学放射医学与辐射防护国家重点实验室、医学部放射医学与防护学院王殳凹教授团队揭示了V/VI混合价态铀簇合物的本征半导体性质,多核铀簇的化学组成使得其成为有效原子序数最高的半导体辐射探测材料,在X射线吸收与探测应用方面展现出潜在价值。相关成果发表于国际顶尖化学期刊Angew. Chem. Int. Ed.上(Angew. Chem. Int. Ed. 2021, DOI: 10.1002/ange.202017298),论文链接:https://onlinelibrary.wiley.com/doi/10.1002/ange.202017298。
拓展含铀化合物的应用对于优化贫铀利用与理解固体中5f电子行为等具有重要意义。铀具有三、四、五、六等多个价态和化学种态。另外,铀元素的5f和6d轨道均具成键能力,使得铀元素往往呈现出异于过渡金属和镧系元素的独特性质。近年来,研究人员在单一价态铀化合物的合成和功能应用方面已取得了众多进展。例如,UIII化合物具有高效的小分子活化和催化转化能力;UIV化合物表现出优异的超导性质;UVI化合物是潜在的光功能材料。混合价态铀化合物结合两个或两个以上差异较大的铀离子,其应用与性质更具潜力。然而,过去二十年内,该领域研究普遍聚焦混合价态铀化合物制备、配位化学以及电子结构等研究,未见混合价态铀化合物作为功能材料的相关报道。
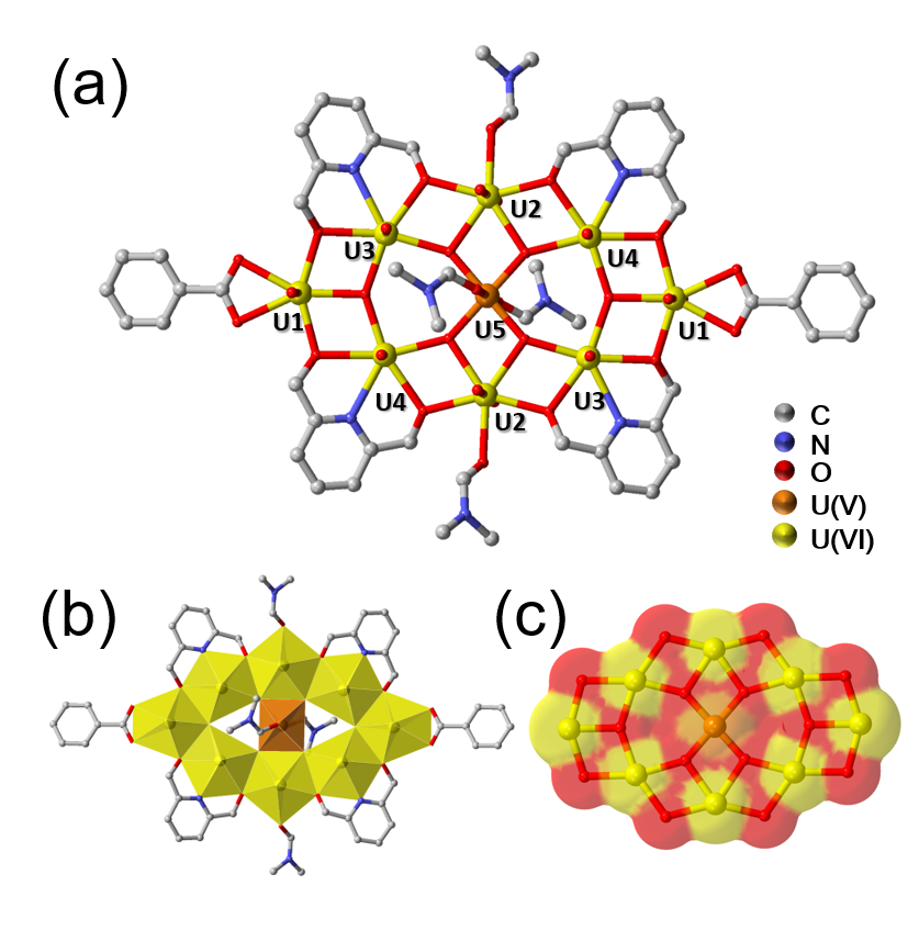
团队采用了常规溶剂热法,以硝酸铀酰、有机硼酸酯和苯甲酸为原料,通过原位还原获得了一种新的V/VI混合价态铀簇(1),该化合物是目前最大的基于“tetraoxo核”的混价铀簇。单晶衍射数据显示化合物1为九核簇,其中包括一个U(V)和八个U(VI)。U(V)为六配位模式,平面有四个μ3-O原子、轴向为两个DMF分子提供的O原子,为典型的“tetraoxo核”;其余八个U(VI)为平面五配位、两个轴向铀酰氧的五角双锥构型。

化合物1的电子跃迁谱显示出五价铀单电子5f1的特征跃迁。X射线光电子能谱、同步辐射近边吸收和磁性分析等进一步证明了化合物1中五价铀的存在。DFT理论计算表明U(V)的电子传递性质与实验电子跃迁谱一致。计算进一步证明U(V)在整个簇中具有供电子特性,这导致化合物1具有n-型半导体特性。同时,U(V)的存在进一步降低铀簇内部的电荷转移能垒,促进了化合物1的电荷迁移。这些结果使得研究人员率先发现混价铀化合物的本征半导体特性。

得益于铀簇的多核特性,化合物1是目前为止有效原子序数最大的半导体辐射探测材料。进一步通过器件组装与辐射探测性能评估,研究人员证明化合物1在X射线探测领域具有巨大的潜在优势。其具有高达500的开关比、可观的电荷迁移率寿命积(μτ, 2.3×10-4 cm2/V)和高的射线检测灵敏度(23.4 μC Gyair-1 cm-2)。
该工作首次揭示了混合价态铀化合物的半导体性质,同时拓展了含铀化合物的功能应用,为深刻认识铀化合物的物理特性和开发功能研究提供了新的思路。

博士研究生张明星、硕士研究生梁城瑜、博士后成国栋为本工作共同第一作者;苏州大学王殳凹教授、王亚星副教授与北京科技大学胡淑贤教授是论文的共同通讯作者。该工作得到了国家自然科学基金重大项目、杰出青年基金、青年基金、国防科工局国防基础科研核基础科学挑战计划等的经费支持。